摘要 : 16黑臭河道已经成为我国面临的主要水环境问题,其对我国水环境造成巨大的影响。黑臭河道内源的主要特征是还原程度、高氮磷污染严重,甚至呈现复合污染的问题,同时表观上表现出发黑发臭的现象。
黑臭河道已经成为我国面临的主要水环境问题,其对我国水环境造成巨大的影响。黑臭河道内源的主要特征是还原程度、高氮磷污染严重,甚至呈现复合污染的问题,同时表观上表现出发黑发臭的现象。由于黑臭河道底泥长期处于高营养负荷污染,底泥可持续向上覆水中释放营养盐,由此成为湖泊重要的外源输入,使本已处于富营养化状态的湖泊继续恶化。因此,必须采取相关措施对重污染底泥进行治理。直推式钻机,取土钻机,环评采样,环评取土,土壤污染采样
目前,国际上通用的几种底泥内源治理方法包括:底泥疏浚、原位钝化、原位曝气(增氧)。各种方法均在不同情境的水环境治理中有应用,也取得了一定的效果。然而,到底哪种方法具有优势?对底泥内源削减效果如何?对沉积物微生物群落组成以及长期内源削减效应到底是什么样的结果?
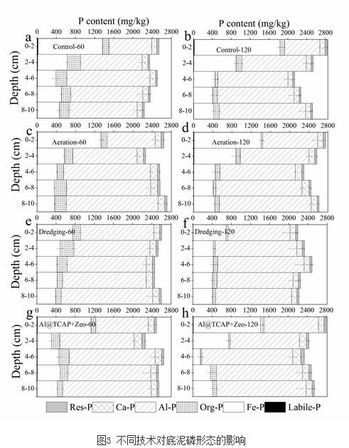
基于上述科学问题,中国科学院南京地理与湖泊研究所尹洪斌等选取巢湖主要支流南淝河底泥作为研究对象,室内研究了底泥疏浚、原位钝化(控氮+控磷材料)以及曝气增氧对底泥内源的控制效果。在120天的研究中发现,三种技术对上覆水氮磷的控制存在较大差异。
对于上覆水磷而言,各个技术均可有效控制磷的浓度,但各个技术在控制水体磷的效率方面随时间增加逐渐衰减。原位钝化和曝气增氧均可有效控制上覆水体中总氮与氨氮的浓度,但是底泥疏浚却无法有效控制上覆水中氮的浓度。
同样,底泥疏浚、原位钝化以及曝气增氧技术均可有效控制底泥磷的释放,其中底泥疏浚表现最为出色(疏浚较为彻底为前提)。令人遗憾的是,底泥疏浚能造成底泥氨氮的大量释放。这主要是由于氨氮的浓度倾向于在沉积物底部富集。底泥疏浚虽然将表层重污染底泥移除,但却将底泥高浓度氨氮的间隙水暴露,造成较大的浓度梯度差,由此引起疏浚初期氮的大量释放。
有研究表明,底泥疏浚在长期尺度可有效控氮,但是上述研究多是控制模拟实验。究竟长期控氮是由于上覆水中氧浓度的增高造成氨氮的氧化,还是另有原因,有待在实际的疏浚工作中进行检验。
对于内源氮磷污染削减方面,底泥疏浚无疑是最佳方法。“新生”界面相对洁净,仍可持续吸附上覆水中的氮磷。此外,底泥氮磷含量相对较低,底泥氮磷的易活化形态也相对较低,因此利于底泥固相氮磷的控制。曝气增氧虽可在一定时间内对上覆水中氮磷以及界面释放起到一定的控制作用,但该方法对底泥氮磷形态的转化几乎不起作用。原位氮磷控制材料的材料可将底泥中活性磷转化为惰性磷,由此削减界面磷的释放。但底泥中氮的材料捕获了大量可交换态的氨氮,致使底泥氨氮大量升高。到底捕获的氮是否能够再次释放到水体中,需要深入研究。此外,重污染河道底泥中存在大量的水丝蚓等生物,生物扰动作用可携带大量材料下潜,由此造成底部沉积物中活性磷也被削减。然而,随着时间的延长,表层沉积物中活性磷的含量又继续升高。该研究表明,目前的几种主流治理技术均存在问题,发展多技术联用的方法势在必行。同时,应用针对我国黑臭河道底泥污染情况的共性问题,研发出广谱性的治理技术与方法。直推式钻机,取土钻机,环评采样,环评取土,土壤污染采样
通常,黑臭水体易发区底泥呈还原环境,底泥硫化物含量高,黑臭水体的形成与底泥(底质)环境密切相关,底泥中高含量的有机质厌氧分解致使表层底泥中形成厌氧甚至极度厌氧的环境,促使底泥中大量的致黑硫化物生成,在高温、水动力作用下会导致水体黑臭的发生。因此,还原性底泥的治理是黑臭水体治理的关键,也是该区域生态环境恢复的基础。目前,投加氧化剂(过氧化钙、过氧化氢)以及电子受体(硝酸盐)是治理硫质底泥的常用方法。虽然多数研究者认为这是一种应急措施,而非长久控制技术。但研究者认为,该技术的使用至少可为水生植物的恢复抢占时间,良性生境的营造是水生植物恢复的基础。投加硝酸盐被认为是一种比较温和的治理方法,其原理是基于硫驱动的自氧反硝化(方程1):8MeS2-+5NO3-+6H2→5SO42-+4N2+2H++5Me(OH)2。
但是在具体投加过程中,理论投加量是否有效,以及底泥中有机质、Fe2+浓度、微生物以及温度等对上述反应有何影响仍不得而知。基于上述科学问题,本实验采集富硫底泥(AVS含量高达1200mg/kg),采用室内模拟研究的方法,详细研究了电子受体(硝酸盐)剂量效应以及相关因子对底泥氮硫反应的影响。研究结果表明,基于方程1的理论投加量不足以完全氧化底泥中的还原性硫(AVS)。由于硝酸盐剂量的缺失,会导致治理效果的反弹,而1.6倍剂量的理论值相应可达到接受的治理效果。但过度的硝酸盐会促使底泥间隙水中氨氮的急剧升高,主要是由于底泥中还原性铁与硝酸根的异化还原(DNRA)反应。因此,底泥中铁含量的高低也间接推高电子受体的投加剂量。此外,研究中详细讨论了上述罗列的各个环境因子对底泥中外加硝酸盐与硫反应的机制。论文最后认为,应该在充分调查我国不同类型黑臭河道底泥的基础上,通过大量模拟反应实验,构建普适性的氮硫剂量反应效应方程,从而为我国黑臭河道治理做出贡献。此外,研究人员认为研制缓效型、智能电子供体在河道底泥治理中将发挥重大作用。
以上研究成果得到十三五巢湖国家水体污染治理重大专项、中科院交叉团队、国家自然科学基金以及中科院一三五的资助,成果发表于Yin et al., Science of the Total Environment, 2019,663, 68-77 及Yin et al., Chemical Engineering Journal, 2019, 371, 516-523上。直推式钻机,取土钻机,环评采样,环评取土,土壤污染采样



| 我要评论: | |
| *内 容: |
|
| 验证码: |
|
共有-条评论